泊松分布的有关计算
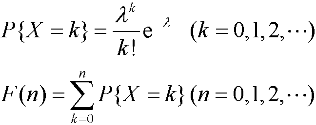
本网页进行泊松分布的有关计算,泊松分布有一个参数λ,
其分布率公式和累积函数公式如下所示:
在下面的列表中选择要计算的内容,然后在左下面输入相关的数据后,单击“开始计算”按钮进行计算。
计算分布率表
给定整数k进行有关计算
计算累积函数的反函数
计算落在区间内外的概率
λ是泊松分布的参数,在下表中计算出头12个概率值,
在下面输入λ,然后单击“开始计算”按钮:
λ=
λ是泊松分布的参数,给定非
负整数k, 计算P{X=k}, P{X
≤k
}, P{X>k}。在下面输入λ和k后,单击“开始计算”按钮执行计算:
λ=
k=
λ是泊松分布的参数,给定一个概率a, 求
一个实数,当k的值差不多在这个实数附近时,P{X
≤
k}近似为a,在下面输入λ和a的值,然后
单击“开始计算”按钮执行计算:
λ=
a=
λ是泊松分布的参数,求X落在区间(X1,X2]内外的概率,在下方键入λ,X1,X2的值后,单击“开始计算”按钮执行计算:
λ=
x1=
x2=
k
0
1
2
3
4
5
6
7
8
9
10
11
p
1
概率函数
1
分布函数